黄冈市网站建设_网站建设公司_代码压缩_seo优化
2026/1/16 21:35:30 网站建设 项目流程

P3369 【模板】普通平衡树

大意

  1. 插入
  2. 删除
  3. 查询排名
  4. 查询排名值
  5. 查询前驱
  6. 查询后继

思路

采用 Splay 和 Treap 两种方式。

Treap

首先 Treap 是一种随机化算法,我们采用 二叉搜索树 + 随机化 的方式实现,具体的来说:

首先我们给每个点都随机赋上一个点权,然后使得这棵树在满足 BST 得到基础上再去满足这个堆的性质。

复杂度证明:

\(D(v)\) 为节点 \(v\) 的深度。引入指示变量 \(I(u, v)\)

\[I(u, v) = \begin{cases} 1, & u \text{ 是 } v \text{ 的祖先} \\ 0, & \text{其他} \end{cases} \]

根据期望的线性性,节点 \(v\) 的深度期望值为:

\[E[D(v)] = \sum_{u=1}^n E[I(u, v)] = \sum_{u=1}^n P(u \text{ 是 } v \text{ 的祖先}) \]

在 Treap 中,\(u\)\(v\) 的祖先,当且仅当在数值区间 \([\min(u, v), \max(u, v)]\) 之间的所有节点中,\(u\) 的随机权值 \(w(u)\) 是最大的。

  • 区间内的节点个数为:\(k = |u - v| + 1\)

由于所有节点的随机权值 \(w(i)\) 独立同分布,区间内任何一个节点成为最大值的概率是相等的。因此:

\[P(u \text{ 是 } v \text{ 的祖先}) = \frac{1}{|u - v| + 1} \]

对所有可能的 \(u\) 进行求和:

\[\begin{aligned} E[D(v)] &= \sum_{u=1}^n \frac{1}{|u - v| + 1} \\ &= \sum_{i=1}^{v-1} \frac{1}{v-i+1} + 1 + \sum_{i=v+1}^n \frac{1}{i-v+1} \\ &< \sum_{k=1}^n \frac{1}{k} + \sum_{k=1}^n \frac{1}{k} \end{aligned} \]

利用调和级数近似公式 \(\sum_{k=1}^n \frac{1}{k} = \ln n + O(1)\)

\[E[D(v)] < 2H_n = O(\log n) \]

结论: Treap 的平均深度随节点数 \(n\) 呈对数级增长。

Splay

我们考虑将每次查询的点或者插入的点都旋转到根,这样可以不让树退化。

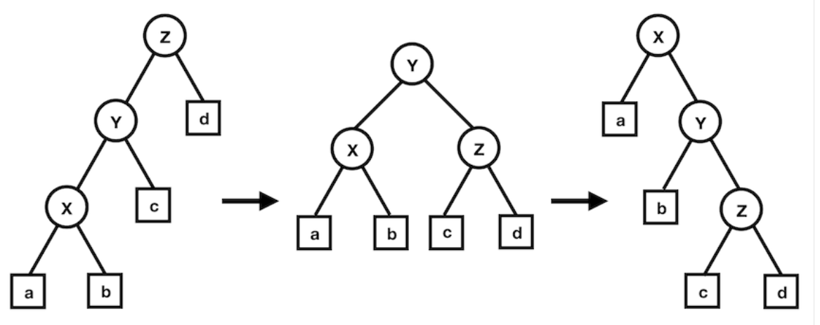
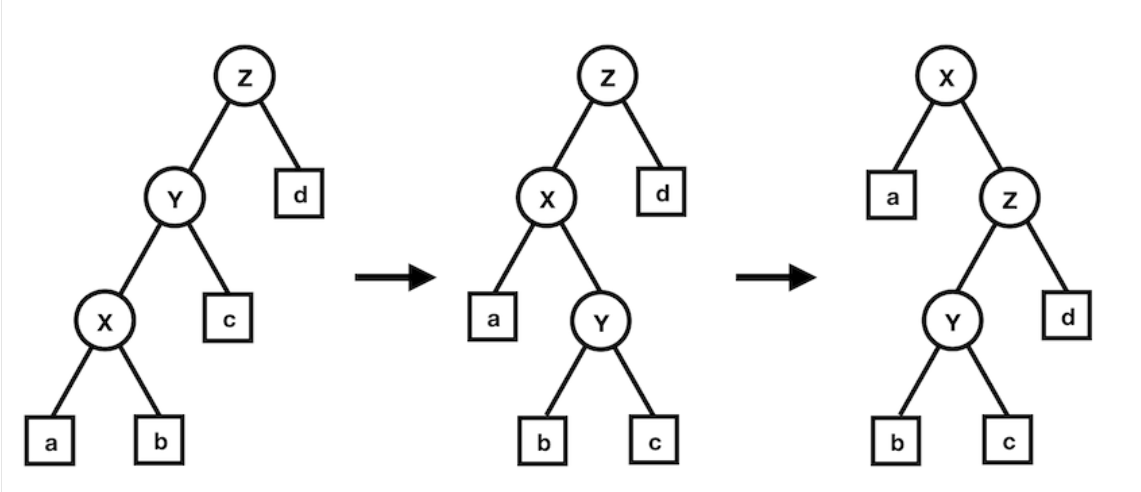
但是如果是单旋的话会出现这样的问题

image

我们发现这个玩意压根就没有发生变化,这也就是说,这玩意有可能退化(太可怕了

那么我们采用双旋的方式去解决这个问题,类似这样:

image

我们先把 \(x\) 的父亲更改,再处理 \(x\) 的儿子与 \(y\) 处理,最后让 \(y\) 成为 \(x\) 的儿子。

这样我们就做出了 rotate 函数,在旋转的时候,分为同侧旋转与异侧旋转,如果是同侧的话就旋转 \(y\) 再旋 \(x\),如果是异侧就双次旋转 \(x\)

复杂度证明:

不会。
参考大佬的证明

代码

//Treap#include <iostream>
#include <ctime>
#include <cstdlib>
using namespace std;#define lc(x) t[x].s[0]
#define rc(x) t[x].s[1]const int MAXN = 1e5 + 5;
const int INF = (1 << 30) - 1;struct node{int s[2], v, p, cnt, sz;void init(int val){v = val, p = rand();cnt = sz = 1;s[0] = s[1] = 0;}
}t[MAXN];int root, tot = 0;void pushup(int x){t[x].sz = t[lc(x)].sz + t[rc(x)].sz + t[x].cnt;
}void rotate(int &x, int d){int y = t[x].s[d];t[x].s[d] = t[y].s[d ^ 1];t[y].s[d ^ 1] = x;pushup(x);pushup(y);x = y;
}void Insert(int &x, int val){if(!x){x = ++ tot;t[x].init(val);return;}if(t[x].v == val) t[x].cnt ++;else{int d = val > t[x].v;Insert(t[x].s[d], val);if(t[t[x].s[d]].p > t[x].p) rotate(x, d);}pushup(x);
}void Delete(int &x, int val){if(!x) return;if(t[x].v == val){if(t[x].cnt > 1) t[x].cnt --;else{if(!lc(x) || !rc(x)) x = lc(x) + rc(x);else{int d = t[rc(x)].p > t[lc(x)].p;rotate(x, d);Delete(t[x].s[d ^ 1], val);}}}else Delete(t[x].s[val > t[x].v], val);if(x) pushup(x);
}int Rank(int x, int val){if(!x) return 1;if(t[x].v == val) return t[lc(x)].sz + 1;if(val < t[x].v) return Rank(lc(x), val);return t[lc(x)].sz + t[x].cnt + Rank(rc(x), val);
}int Val(int x, int k){if(!x) return 0;if(k <= t[lc(x)].sz) return Val(lc(x), k);else if(k <= t[lc(x)].sz + t[x].cnt) return t[x].v;else return Val(rc(x), k - t[lc(x)].sz - t[x].cnt);
}int Pre(int val){int x = root, res = -INF;while(x){if(t[x].v < val) res = t[x].v, x = rc(x);else x = lc(x);}return res;
}int Suc(int val){int x = root, res = INF;while(x){if(t[x].v > val) res = t[x].v, x = lc(x);else x = rc(x);}return res;
}int n, op, x;int main(){srand(time(0));ios::sync_with_stdio(0);cin.tie(0);cin >> n;while(n --){cin >> op >> x;if(op == 1) Insert(root, x);else if(op == 2) Delete(root, x);else if(op == 3) cout << Rank(root, x) << '\n';else if(op == 4) cout << Val(root, x) << '\n';else if(op == 5) cout << Pre(x) << '\n';else cout << Suc(x) << '\n';}return 0;
}//Splay#include<iostream>
using namespace std;#define lc(x) t[x].s[0]
#define rc(x) t[x].s[1]const int MAXN = 1e5 + 5;
const int INF = (1 << 30) - 1;struct node{int s[2], f, v, cnt, sz;void init(int fa, int val){f = fa, v = val;cnt = sz = 1;}
}t[MAXN];int root, tot = 0;void pushup(int x){t[x].sz = t[lc(x)].sz + t[rc(x)].sz + t[x].cnt;
}void rotate(int x){int y = t[x].f, z = t[y].f;int k = (rc(y) == x);t[z].s[rc(z) == y] = x;t[x].f = z;t[y].s[k] = t[x].s[k ^ 1];t[t[x].s[k ^ 1]].f = y;t[x].s[k ^ 1] = y;t[y].f = x;pushup(y);pushup(x);
}void Splay(int x, int k){while(t[x].f != k){int y = t[x].f, z = t[y].f;if(z != k){((lc(z) == y) ^ (lc(y) == x)) ? rotate(x) : rotate(y);}rotate(x);}if(k == 0) root = x;
}void Insert(int val){int x = root, f = 0;while(x && t[x].v != val){f = x;x = t[x].s[val > t[x].v];}if(x) t[x].cnt ++;else{x = ++ tot;if(f){t[f].s[val > t[f].v] = x;}t[x].init(f, val);}Splay(x, 0);
}void Find(int val){int x = root;while(t[x].s[val > t[x].v] && t[x].v != val){x = t[x].s[val > t[x].v];}Splay(x, 0);
}int Pre(int val){Find(val);int x = root;if(t[x].v < val) return x;x = lc(x);while(rc(x)) x = rc(x);Splay(x, 0);return x;
}int Suc(int val){Find(val);int x = root;if(t[x].v > val) return x;x = rc(x);while(lc(x)) x = lc(x);Splay(x, 0);return x;
}void Delete(int val){int pre = Pre(val), suc = Suc(val);Splay(pre, 0), Splay(suc, pre);int x = lc(suc);if(t[x].cnt > 1){t[x].cnt --;Splay(x, 0);}else{lc(suc) = 0;Splay(suc, 0);}
}int Rank(int val){Insert(val);int res = t[lc(root)].sz;Delete(val);return res;
}int Val(int k){int x = root;while(true){if(k <= t[lc(x)].sz){x = lc(x);}else if(k <= t[lc(x)].sz + t[x].cnt){break;}else{k -= (t[lc(x)].sz + t[x].cnt);x = rc(x);}}Splay(x, 0);return t[x].v;
}int n, op, x;int main(){ios::sync_with_stdio(0);cin.tie(0);cin >> n;Insert(-INF), Insert(INF);while(n --){cin >> op >> x;if(op == 1){Insert(x);}else if(op == 2){Delete(x);}else if(op == 3){cout << Rank(x) << '\n';}else if(op == 4){cout << Val(x + 1) << '\n';}else if(op == 5){cout << t[Pre(x)].v << '\n';}else{cout << t[Suc(x)].v << '\n';}}return 0;
}

需要专业的网站建设服务?

联系我们获取免费的网站建设咨询和方案报价,让我们帮助您实现业务目标

立即咨询